Kalian bisa menyaksikan langsung di metro tv tv one dll. Unsur unsur dialog interaktif contohpro.
Metrotvnews Knowledge To Elevate
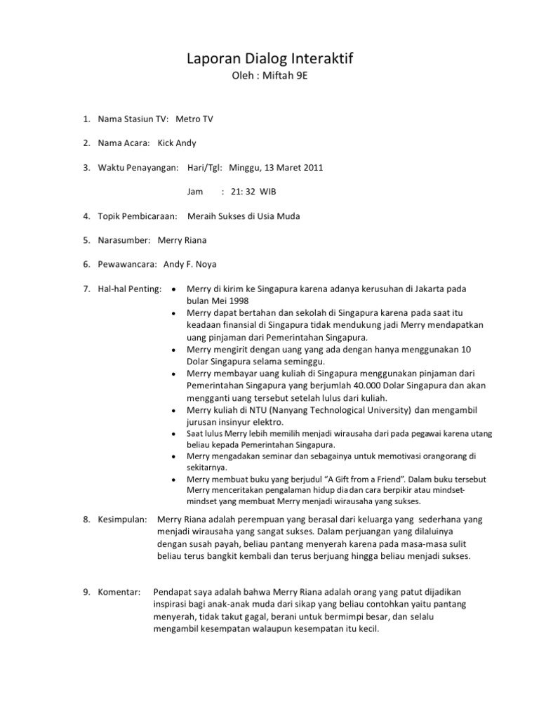
Contoh dialog interaktif metro tv. Nah dari berbagai acara tv dialog interaktif lebih sering kita jumpai pada acara berita pagi ataupun talk show seperti pada channel metro tv dan juga tv one yang memang sudah kita kenal bahwa channel tersebut sering sekali mengadakan. Dialog interaktif pengertian contoh keseahtan kesimpulan dosenpendidikancom dialog interaktif terdiri dari dua kata yaitu dialog dan interaktif dimana kata dialog berarti karya tulis yang disajikan dalam bentuk percakapan antara dua tokoh atau lebih sementara pengertian interaktif adalah bersifat saling aksi. Hai sobat semua kali ini aku mau berbagi sebuah artikel mengenai dialog interaktif metro tv kemarin dan hari ini. Mata najwa metro tv. Dialog interaktif juga bisa dihadirkan dalam panggung diskusi di kampus sekolah atau pun institusi lainnya. Apabila kedua kata ini digabungkan maka akan berarti karya tulis.
Contoh teks dialog interaktif beserta kesimpulannya halo sobat faktakah hari ini saya bakal memberikan 20 contoh teks dialog interaktif terbaru di tv 2017. Pengertian dan unsur unsurnya lengkap. Dialog interaktif juga bisa muncul dalam acara tv media masa radio internet dan lain sebagainya. Di dalam kehidupan kita sehari hari pastinya sudah sangat sering mendengar ataupun menjumpai adanya pertemuan maupun agenda dimana pertemuan tersebut akan membahas beberapa hal yang nantinya akan mengundang nara sumber yang sudah sangat ahli baik itu di dalam tengah televisi maupun tokoh masyarakat. 5 contoh dialog interaktif. Contoh dialog interaktif metro tv juli 2013 contoh two nah setelah kita membahas mengenai apa saya unsur unsur dan juga ketentuan dari pembuatan dialog interaktif maka yang selanjutnya.
Dialog interaktif adalah materi smp kelas 9 yang akan kita pelajari kali inidialog interaktif ini sangat sering kita jumpai di berbagai media massa terutama tv. Contoh dialog interaktif tv one contoh dialog interaktif di metro tv contoh dialog interaktif di stasiun tv contoh dialog interaktif metro tv contoh dialog interaktif di tv contoh dialog interaktif di televisi contoh dialog interaktif tentang kenakalan remaja contoh dialog interaktif dan kesimpulannya contoh dialog interaktif singkat contoh dialog interaktif dalam bentuk teks contoh. Contoh dialog interaktif dalam kehidupan sehari hari sering kita jumpai pertemuan atau agenda yang membahas suatu hal dengan mendatangkan narasumber yang ahli baik di dalam televisi maupun kehidupan bermasyarakat. Contoh teks dialog interaktif singkat memang kebanyakan akan kita temui dalam sebuah acara talkshow saat ini mulai dari yang memabahas isu politik dan masih banyak lagi. Daripada kalian semakin penasaran apa saja contoh teks dialog interaktif singkat itu simaklah contoh teks dialog interaktif singkat dibawah ini. Nah metro tv sendiri adalah salah satu stasiun tv di indonesia yang banyak menayangkan berbagai macam dialog interaktif yang membahas berbagai fenomena baik itu politik sosial budaya dan lainnya.
Selamat datang kali ini kita membahas contoh dialog interaktif.
















