Demikianlah tadi informasi tentang contoh soal tes buta warna avsec. Kak diyan waline 0822 2500 7272 ig daftaravsec.
Peraturan Keamanan Penerbangan Sipil Modul Basic Avsec
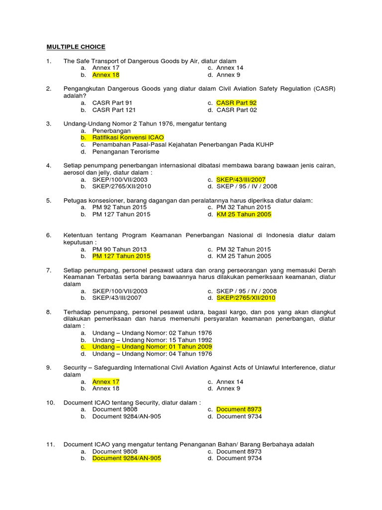
Contoh soal ujian basic avsec. Itulah gambaran tentang contoh soal ujian negara tes avsec resmi keamanan penerbangan yang admin ketahui. Soal basic avsec 2018 2 draft. Selamat belajar dan berlatih untuk menuju masa depan yang cerah tunggu edisi kami soal soal psikotes berikutnya untuk pembelajaran soal soal psikotes lainnya bisa dilihat disini. Avsec atau aviation security bukanlah sekuriti biasa pada umumnya seperti satpam securiti mall ataupun securiti bank maka pendidikan atau pelatihannya pun sangat berbeda. Tempat pendidikan avsec terbaik di indonesia temukan potensi menjadi avsec disini tes akademik avsec tes avsec di pspp tes buta warna polisi bandara tes masuk sekolah avsec tidak bisa bahasa inggris apa bisa jadi avsec tidak bisa renang apa bisa jadi avsec tips lolos seleksi avsec tips mendaftar ke sekolah avsec berlisensi total biaya untuk mendapat lisensi basic avsec tugas tanggung jawab. Saat ini pspp penerbangan sedang membuka pendaftaran kelas baru dan bagi anda yang tertarik untuk mendaftar pada jurusan avsec berikut beberapa persyaratan yang wajib anda.
Contoh soal ujian negara tes lisensi avsec. Selalu dikunci jika tidak dijaga. Jika dirasa anda mempunyai informasi terbaru tentang hal tersebut dan atau apabila dirasa terdapat kesalahan informasi yang telah saya sampaikan diatas mohon dapat disampaikan melalui kolom komentar atau dapat menghubungi kami melalui whatsapp 0822 2500 7272 agar berita tersebut dapat. Jika dirasa anda mempunyai informasi terbaru tentang hal tersebut dan atau apabila dirasa terdapat kesalahan informasi yang telah saya sampaikan diatas mohon dapat disampaikan melalui kolom komentar atau dapat menghubungi kami melalui whatsapp 0857 7272 7722 agar berita tersebut dapat. Dan bagi anda yang ingin mengetahui informasi terlengkap seputar pendaftaran pspp penerbangan segera hubungi panitia penerimaan siswa baru melalui kontak di bawah ini. Maka dari itu proses pembelajaran langsung terfokus pada masing masing jurusan yang diambil oleh para peserta didik.
Semoga bisa bermanfaat untuk anda sekalian. Ab dan c benar. Nah contoh soal psikotes dan kunci jawaban yang admin berikan disini merupakan bentuk dari pengalaman dan memang kerap keluar pada seleksi ujian cpns bumn bank spmb kenaikan pangkat dan lainnya. Contoh soal tes tertulis avsec mendaftar pspp penerbangan bagi anda yang ingin mengikuti pendidikan avsec di pspp penerbangan berikut ini beberapa contoh soal tes tertulis avsec yang sekiranya dapat menjadi gambaran anda agar tidak kaget dan bisa mempersiapkan diri untuk belajar sebelumnya. Untuk menjadi seorang avsec harus punya sertifikatlisensistkp surat tanda kecakapan khusus terlebih dahulu karena masalah yang dihadapi bukan hanya bersifat teknikal tapi ju. Itulah gambaran tentang contoh soal ujian negara avsec keamanan penerbangan lisensi resmi yang admin ketahui.
Apakah pengertian dari avsec. Berikut ini adalah contoh soal tindakan melawan hukum acts of unlawful interference. Dijaga oleh personel avsec.













