Berikut adalah penyelesaiannya. X1 3x2 3x3 8.
Selesaikan Spl Berbentuk Dengan Metode Gauss Gauss Jordan Dan
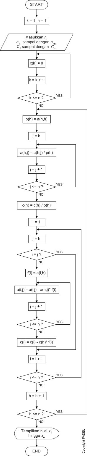
Contoh soal gauss jordan. Eliminasi gauss adalah suatu metode untuk mengoperasikan nilai nilai di dalam matriks sehingga menjadi matriks yang lebih sederhana lagid engan melakukan operasi baris sehingga matriks tersebut menjadi matriks yang baris. Posted by unknown at 1631. Matrik perluasan dari spl di atas adalah. Contoh soal beserta jawaban metode eliminasi gauss jordan 4 variabel contoh soal. Diberikan sistem persamaan linear sebagai berikut. Dapat dilihat di sini eliminasi gauss jordan soal terapan eliminasi gauss jordan 1pabila diketahui suatu rangkaian listrik seperti gambar 5 maka besar arus untuk masing masing hambatan dapat dicari menggunakan metoda numerik.
Ini dapat digunakan sebagai salah satu metode penyelesaian persamaan linear dengan menggunakan matriks. Caranya dengan mengubah persamaan linear tersebut ke dalam matriks. Eliminasi gauss ditemukan oleh carl friedrich gauss metode ini dapat dimanfaatkan untuk memecahkan sistem persamaan linear dengan merepresentasikan mengubah menjadi bentuk matriks matriks tersebut lalu diubah kebentuk eselon baris melalui operasi baris elementer. Cari nilai x1x2x3 pada persamaan dibawah ini menggunakan eliminasi gauss dan eliminasi gauss jordan. Tentukan pemecahan spl. Eliminasi gausspenjelasan eliminasi gauss adalah suatu metode untuk mengoperasikan nilai nilai di dalam matriks sehingga menjadi matriks yang lebih sederhana lagi.
Selesaikan sistem persamaan linear berikut dengan metode gauss jordan. Soal soal latihan tentang rangkaian hambatan listrik minor kofaktor matrik kofaktor dan adjoin matrik struktur if then dan if then else. Dengan menggunakan metode eleminasi gauss jordan tentukan penyelesaian sistem persamaan linear di atas. 2x1 x2 4x3 8. M eto de ini dimodifikasi oleh wilhe lm j ordan seorang insinyur jerman pada tahun 1887. Kemudian sistem diselesaikan dengan substitusi balik.
Dengan melakukan operasi baris sehingga matriks tersebut menjadi matriks yang baris. 3x1 2x2 x3 10. Contoh soal uts alajabar linear teknik geodesi ta. El i minasi gauss jordan ini adalah pengembangan dari eliminasi gauss yang hasilnya lebih disederhanakan lagi. 2x 4y 3z 1. Untuk mendapatkan link penyelesaian dari permasalahan tersebut silahkan klik disini.
Sehingga sekarang agar lebih menarik kita akan mencoba variasi soal yang lebih unik. Ketiga contoh tersebut dikerjakan dengan prosedur eliminasi gauss jordan yang dilakukan secara jelas dan runtut. Dengan metode ini selain dapat digunakan untuk menyelesaikan sistem persamaan linear juga dapat digunakan untuk mencari invers dari sebuah matriks. X y 2z 9. Ini dapat digunakan sebagai salah satu metode penyelesaian persamaan linear dengan menggunakan matriks. Contoh soal untuk gauss dan gauss jordan.















