6 n 4 habis dibagi 5 untuk n bilangan asli. Untuk semua bilangan bulat n 1.
Contoh Soal Induksi Matematika
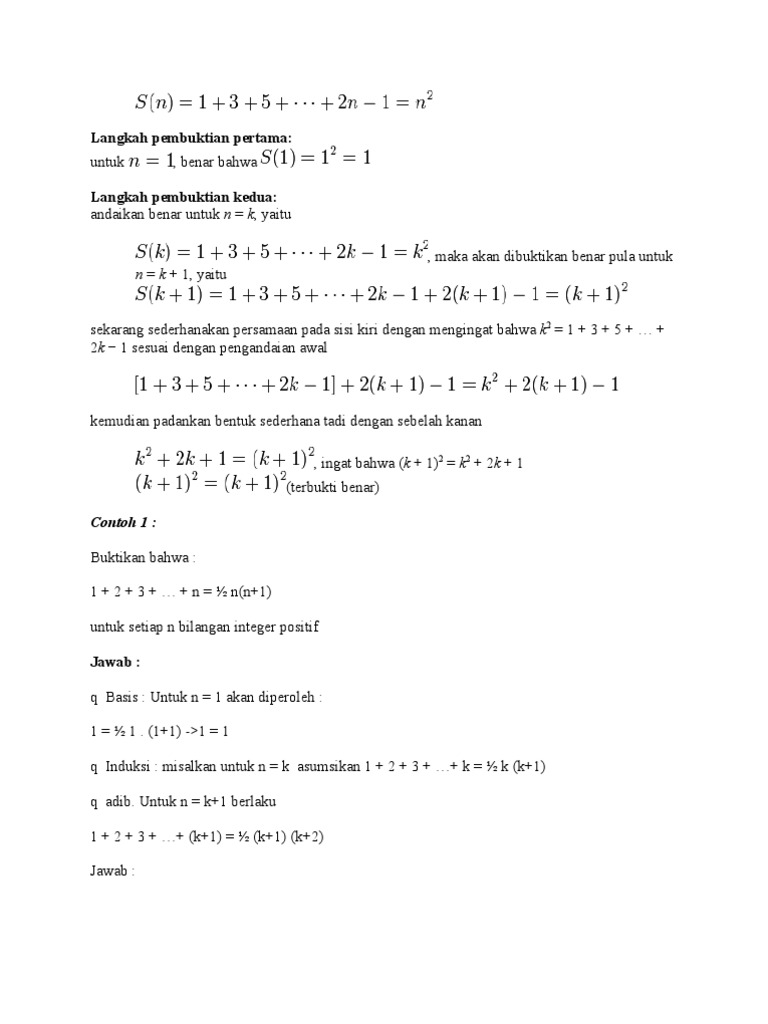
Contoh soal induksi matematika sederhana. Guru sd smp sma contoh soal induksi matematika sederhana. Berikut ini adalah beberapa contoh dari pernyataan matematika yang bisa dibuktikan kebenarannya pada induksi matematika. Itu singkatan dari quod erat demonstrandum. Soal induksi matematika kelas 12 kurikulum 2013 qed. Induksi matematika merupakan materi yang menjadi perluasan dari logika matematikalogika matematika sendiri mempelajari pernyataan yang bisa bernilai benar atau salah ekivalen atau ingkaran sebuah pernyataan dan juga berisi penarikan kesimpulan. Contoh contoh soal induksi matematika 1.
Sekarang kita peroleh 2k1 22k 2k 20 2k 40 k 1 20 iii konklusi. Induksi matematika tidak bisa dipakai untuk menurunkan atau menemukan rumus. Pertama kita harus menunjukkan bahwa rumus tersebut benar ketika n 1. Pertama kita harus menunjukkan bahwa rumus tersebut benar ketika n 1ketika n 1 rumus tersebut benar karena bagian kedua induksi matematika memiliki dua langkah. Contoh soal induksi matematika 3. Kamu akan diajak untuk memahami materi hingga metode menyelesaikan soal.
Soal induksi matematika kelas 11 kurikulum 2013 revisi. Pembahasan induksi matematika terdiri dari dua bagian yang berbeda. Gunakan induksi matematika untuk membuktikan rumus. Kumpulan soal mudah sedang sukar. Di sini kamu akan belajar tentang induksi matematika melalui video yang dibawakan oleh bapak anton wardaya. Jika kalian ingin memahaminya dengan jelas silahkan kalian simak materinya dibawah ini gaes.
Untuk n 5 kita peroleh 25 5 20 adalah suatu pernyataan yang benar. Maka disimpulkan bahwa. Ketika n 1 rumus tersebut benar karena. Contoh file soal uts lengkap kelas 1 6 sdmi semua mata pelajaran 20162017 berikut ini adalah kumpulan dari berbagi sumber tentang contoh soal induksi matematika sederhana yang bisa gunakan untuk bank soaldownloadsd dan diunduh secara gratis dengan menekan tombol download biru dibawah ini. Induksi matematika materi yang membahas tentang pengertian materi pembahasan dan contoh soal induksi matematika secara lengkap dan terperinci. Misalkan bahwa 2k k 20 adalah benar.
I basis induksi. Gunakan induksi matematika untuk membuktikan rumus untuk semua bilangan bulat n 1. Pembahasan induksi matematika terdiri dari dua bagian yang berbeda. Buktikan bahwa 2n n 20 untuk setiap bilangan bulat n 5. Ii langkah induksi. 2 4 6 2n nn 1 n bilangan asli pn.
Jangan lupa untuk perbanyak latihan soal.
















