Di sini kamu akan belajar tentang integral parsial melalui video yang dibawakan oleh bapak anton wardaya. Integral merupakan cabang ilmu matematika yang memiliki tingkat kesulitan cukup tinggi.

Cara Menciptakan Suasana Nyaman Di Dalam Kelas Saat Materi
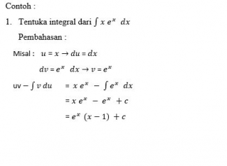
Contoh soal integral parsial. Setelah sebelumnya kita membahas lengkap materi integral kali ini kita akan membahas contoh soal integral dengan menggunakan sifat sifat integral tentu dan tak tentusimak soal dan pembahasan berikut untuk meningkatkan pemahamanmu mengenai cara penyelesaian soal soal integral. Rumuscoid pada kesempatan kali ini kita akan membahas mengenai rumus integral parsial dan contoh soal beserta jawabannya dengan pembahasannya. Tentukanlah hasil dari. Contoh soal integral substitusi dan parsial dan pembahasan contoh soal 1. Du 2 sin 2x dx. Biasanya cara ini digunakan untuk metode yang ada untuk menyelesaikan soal integral tidak bisa digunakan.
Kumpulan soal mudah sedang sukar. Disubstitusi dengan nilai u menjadi. Rumus integral parsial juga digunakan untuk suatu soal integral yang sangat kompleks. Kamu akan diajak untuk memahami materi hingga metode menyelesaikan soal.