G tetapan umum gravitasi 667 x 10 9 nm 2 kg 2. Jawaban yang benar adalah d.
Contoh Soal Glbb Jarak
Contoh soal medan gravitasi. Perbandingan kuat medan gravitasi yang dialami benda a dan b. Contoh soal pembahasan. Contoh soal pembahasan percepatan gravitasi atau kuat medan gravitasi dari bumi maupun planet planet materi fisika sma kelas 11. Hukum newton tentang gravitasi. Kumpulan soal dan pembahasan tentang kuat medan gravitas. Edisi tutorial fisika kali ini akan lebih fokus pada pemecahan soal soal yang berkaitan dengan gaya gravitasi.
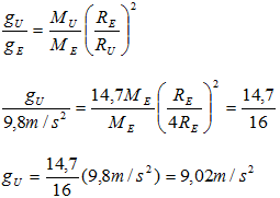
Menentukan hubungan jari jari orbit dengan kuat medan gravitasi menentukan perbandingan kuat medan gravitasi yang dialami dua benda menentukan ketinggian benda agar kuat medan gravitasi berubah menentukan percepatan gravitasi di ketinggian tertentu dan menentukan resultan gaya gravitasi di suatu titik. Latihan soal gaya medan gravitasi mudah latihan soal gaya medan gravitasi sedang latihan soal gaya medan gravitasi sukar share on facebook. Medan gravitasi definisi rumus pengertian contoh soal dan pembahasan posted by hidayat at 1050 pm setiap benda yang bermassa selalu memiliki medan gravitasi di sekelilingnya. Pada materi fisika sebelumnya kita telah meringkas beberapa hal yang penting yang berkaitan dengan gaya gravitasi seperti. Agar kuat medan gravitasi menjadi 13x jari jari orbit haruslah. Percepatan gravitasi di permukaan bumi adalah sekitar 98mbox ms2.
Dengan sedikit gaya pijakan ketika berjalan seorang astronaut akan tampak seperti melayang. Soal dan pembahasan gaya gravitasi soal no1. G kuat medan gravitasi atau percepatan gravitasi nkg atau ms 2. Seorang astronot berada pada orbit lingkaran dengan jari jari r mengitari bumi dengan kuat medan gravitasi x. M massa benda kg r jarak m untuk lebih jelasnya perhatikan contoh soal kuat medan gravitasi percepatan gravitasi dan pembahasannya dibawah ini. Rumus gaya gravitasi rumus kuat medan gravitasi rumus energi potensial gravitasi rumus potensial gravitasi rumus kecepatan orbit bumi dan juga menyinggung.
Soal un 20092010 p70 no. Kumpulan soal dan jawaban tentang gaya gravitasi dan kuat medan gravitasi. Seorang astronot ketika berada di permukaan bumi mengalami medan gravitasi sebesar g maka ketika berada pada ketinggian 15 r dari permukaan bumi akan mengalami medan gravitasi sebesar. Menentuan kuat medan gravitasi jika ketinggian benda diubah menentukan perbandingan percepatan gravitasi dan menentukan percepatan gravitasi di sebuah planet. R jari jari bumi. Gaya gravitasi medan gravitasi dan energi potensial gravitasi coba pembaca bayangkan seorang astronaut yang sedang berjalan jalan di bulan.
1 diketahui percepatan gravitasi di sebuah tempat pada permukaan bumi sebesar 10 ms 2jika r adalah jari jari bumi tentukan percepatan gravitasi bumi pada tempat yang berjarak 2r dari pusat bumi. Gaya gravitasi baru dapat diamati jika.














