Pembahasan soal dengan pemisahan variabel dan pd eksak. Persamaan diferensial orde 1 1 persamaan diferensial pd a.

Persamaandifferensial
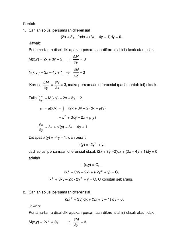
Contoh soal persamaan diferensial orde 1. Sudaryatno sudirham persamaan diferensial orde 1 48 persamaan diferensial seperti 47 mempunyai solusi total yang merupakan jumlah dari solusi khusus dan solusi homogen. Pengertian persamaan differensial secara garis besar persamaan differensial dibagi menjadi 2 yaitu. Dy dx 5x 5 0 disebut pd orde i d y dx x 2 2 6 7 0 disebut pd orde ii. Jikadalam persamaan tersebut variabel bebas dan variabel tak bebasnya berada pada sisi. Pembahasan akan dimulai dengan persamaan diferensial orde satu serta pencarian solusi persamaan diferensial ini. Penyelesaian persamaan differensial orde 1 i 1.
Solusi khusus adalah fungsi yang dapat memenuhi persamaan 47 sedangkan solusi homogen adalah fungsi yang dapat memenuhi persamaan homogen by 0 dt dy a 48. Y asin x b cos x bentuklah pd nya. Persamaan diferensial pd orde satu merupakan bentuk pd yang paling sederhana karena hanya melibatkan turunan pertama dari suatu fungsi yang tidak diketahui. M802 pdb orde 1. Diketahui displaystyle int pxtextdx int leftdfrac2x1xrighttextdx 2x ln x dengan demikian faktor integrasinya adalah. Pembentukan persamaan deferensial contoh 1.
Persamaan yang mengandung variabel dan beberapa fungsi turunan terhadap variabel tersebut. Pendahuluan pengertian persamaan diferensial metoda penyelesaian contoh contoh aplikasi. Persamaan diferensial di atas merupakan persamaan diferensial linear orde satu.