Buat sobat hitung jangan lupa ikhtiar doa dan restu orang tua biar sukses ujian nasionalnya. Teorema rumus dan contoh soal semoga dengan adanya ulasan tersebut dapat menambah wawasan dan pengetahuan kalian semua.
Bab Ii Fungsi Dan Limit Fungsi Ppt Download
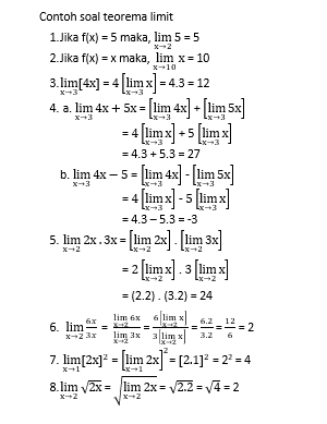
Contoh soal teorema limit. Adasaatnya penggantian niali x oleh a dalam lim fx xa membuat fx punya nilai yang tidak terdefinisi atau fa menghasilkan bentuk 00 atau 0. Teorema limit kelas 11 sma. Limit fungsi aljabar. Tujuannya untuk lebih memahami dan menghafal cara cara dalam menggarap soal soal limit. Limit bentuk 0ºº contoh soal limit trigonometri. Trigonometri berasal dari kata yunani trigonon yang artinya tiga sudut dan metro yang memiliki arti ukuran.
Contoh soal dan jawaban limit kekontinuan dan teorema apit pada kesempatan kali ini saya akan memberikan beberapa contoh soal tentang limit dan kekontinuan plus dengan jawabannya. And have 48 komentar facebook twitter google linkedin technorati digg previous newer post next older post. Unknown december 4 2013 at 500 pm. Sebelum masuk pada contoh soal ada baiknya jika terlebih dahulu membaca dan mengerti materinya. Kami yakin soal limit sudah hampir bisa dipastikan akan muncul dalam soal ujian nasional 2014. Limit matematika tak terasa ujian nasional kurang dari sebulan lagi.
Teorema limit utama contoh soal cara mengerjakan limit fungsi yang tidak terdefinisi. Sebelum membahas cara menentukan nilai limit trigonometri sebaiknya memahami pengertian limit dahulu. 48 komentar add a comment. Rumus metode sifat teorema dan contoh soal by azzahra rahmah posted on march 15 2020 limit fungsi aljabar limit bisa diartikan sebagai menuju batas sesuatu yang dekat namun tidak bisa dicapai. Limit hasil bagi fungsi fungsi sama dengan hasil bagi masing masing limit fungsi dengan syarat limit penyebut tidak sama dengan nol. Seperti yang ditulis pada judulnya didalam artikel ini kita akan lebih banyak memaparkan tentang soal soal yang berkenaan dengan limit.
12 contoh soal limit fungsi matematika written by unknown published at 108 pm categorized as matematika.














